Найти в Дзене
Войти
1,0×
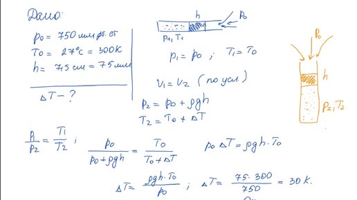
В лаборатории при температуре 27 градусов .....Разбор задания по МКТ
103 просмотра · 2 года назад
00:00
/
02:03
Проводник в мир Физики
380 подписчиков
Подписаться
Хотите видеть больше публикаций по теме «Подготовка к ЕГЭ»?
Давайте
Образование
4,84 млн интересуются
Следить за темой
2646513550.1905.1759448637397.38610