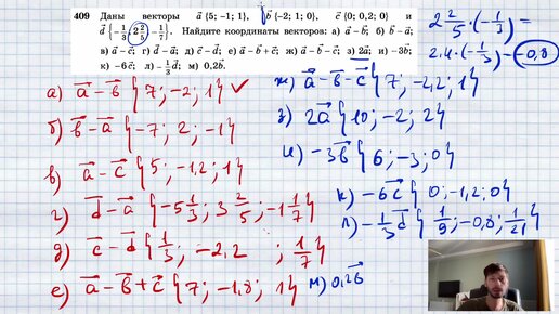
№409. Даны векторы а{5; —1; 1}, b { — 2; 1; 0}, с {0; 0,2; 0} и d {-⅓;2⅖; -1/7}. Найдите координаты векторов: а) а — b; б) b — а; в) а — с;