Найти в Дзене
Войти
1,0×
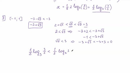
Как делать отбор корней? Подробный разбор, Показательное уравнение, ЕГЭ, Математика, Вторая часть
53 просмотра · 2 года назад
00:00
/
18:16
Мыслиум | Математика
95 подписчиков
Подписаться
2301357735.1771.1765572241451.19232