Найти в Дзене
Войти
1,0×
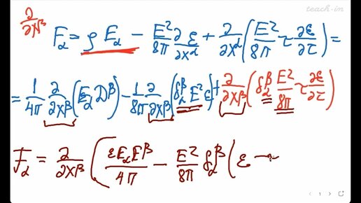
Останина М.В.-Электродинамика.Лекции.Ч.1 - 19. Тензор напряжений Максвелла для диэлектрической среды
126 просмотров · 3 года назад
00:00
/
01:34:55
Teach-In
12,6 тыс подписчиков
Подписаться
788354019.1002.1777363294782.32091