Найти в Дзене
Войти
1,0×
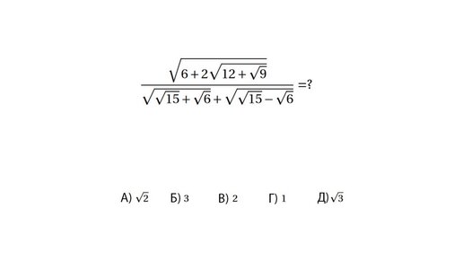
Найти значение выражения. Так какой ответ правильный? Разбираемся с заданием
260 просмотров · 2 года назад
00:00
/
05:17
ОГЭ математика
8954 подписчиков
Подписаться
2135335172.1654.1765940633039.92327