Найти в Дзене
Войти
1,0×
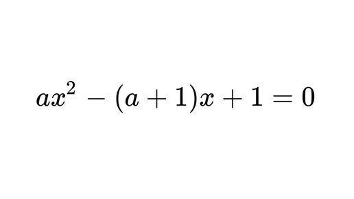
Параметр для новичков, Задача 2.2, Почти квадратное уравнение, Математика, ОГЭ, ЕГЭ
250 просмотров · 3 года назад
00:00
/
17:12
Мыслиум | Математика
94 подписчиков
Подписаться
2500908459.855.1775362301599.66416