Найти в Дзене
Войти
1,0×
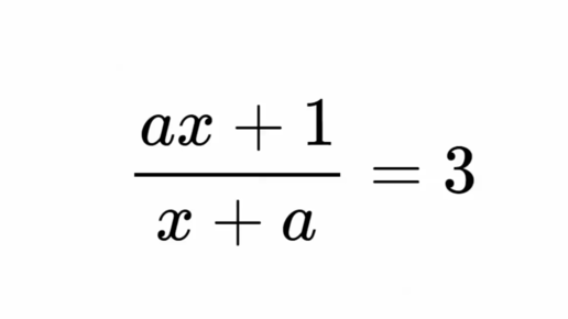
Параметр для начинающих, Задача 1.4, ОГЭ, ЕГЭ, Олимпиады, Математика
314 просмотров · 3 года назад
00:00
/
12:06
Мыслиум | Математика
94 подписчиков
Подписаться
89860285.878.1776482604071.88689