Найти в Дзене
Войти
1,0×
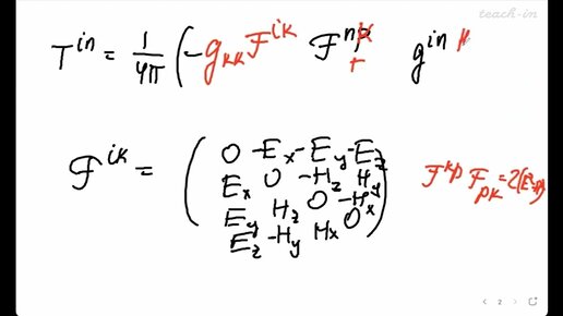
Останина М.В .- Электродинамика.Лекции.Ч.1 - 16. Закон сохранения энергии в четырёхмерном виде
174 просмотра · 3 года назад
00:00
/
01:01:30
Teach-In
12,6 тыс подписчиков
Подписаться
2833468565.935.1776647061293.54493