Найти в Дзене
Войти
1,0×
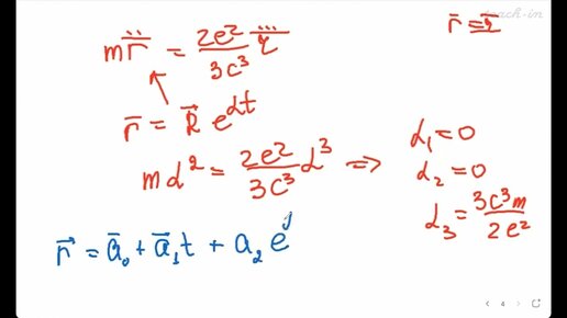
Останина М.В. - Электродинамика.Лекции.Ч.1 - 10. Сила лучистого трения
80 просмотров · 3 года назад
00:00
/
01:11:16
Teach-In
12,5 тыс подписчиков
Подписаться
1725883881.1000.1776261870676.48417