Найти в Дзене
Войти
1,0×
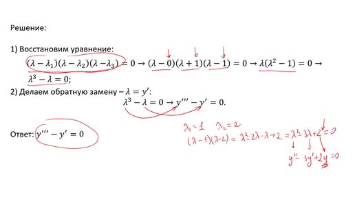
Восстановление линейного однородного уравнения по корням характеристического многочлена (A6)
337 просмотров · 3 года назад
00:00
/
02:43
Михаил Рыбков
2298 подписчиков
Подписаться
164511394.1966.1766413198707.11321