Найти в Дзене
Войти
1,0×
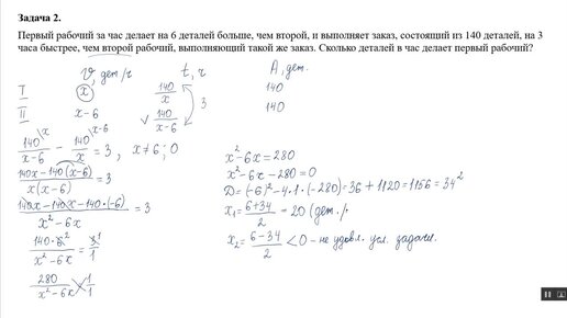
ОГЭ 2023 по математике Задание №21. Пример 2
1061 просмотр · 3 года назад
00:00
/
11:07
2 school
250 подписчиков
Подписаться
ОГЭ Математика
Подборка ·
2 school
· 80 из
86
Далее: ОГЭ 2023 по математике Задание №21. Пример 3
ОГЭ Математика
· 80 из
86
2090570624.921.1776801605380.74206