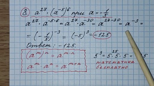
8) Найдите значение выражения а^27•(а^-5)^6 при а=-1/3. ОГЭ по математике 2023. Канал Математика бесплатно.