Найти в Дзене
Войти
1,0×
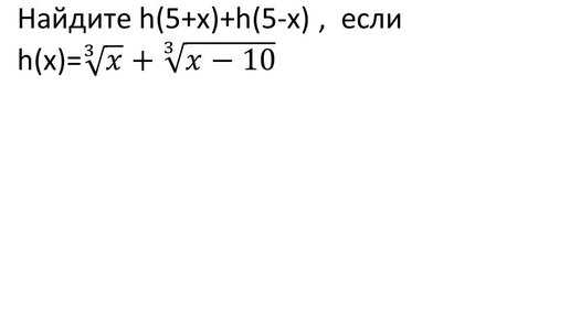
Егэ по математике.Базовый уровень.Вычислить выражение.
122 просмотра · 3 года назад
00:00
/
02:47
Математика от А до Я
351 подписчиков
Подписаться
ЕГЭ
Подборка ·
Математика от А до Я
· 79 из
84
Далее: Егэ по математике.Базовый уровень.Сколько нужно долить жидкости?
ЕГЭ
· 79 из
84
3013874874.1220.1774820161590.50316