Найти в Дзене
Войти
1,0×
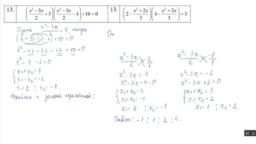
ОГЭ 2023 по математике Задание №20. Пример 13
560 просмотров · 3 года назад
00:00
/
07:28
2 school
251 подписчиков
Подписаться
ОГЭ Математика
Подборка ·
2 school
· 67 из
86
Далее: ОГЭ 2023 по математике Задание №20. Пример 14
ОГЭ Математика
· 67 из
86
44920727.933.1776601702663.35000