Найти в Дзене
Войти
1,0×
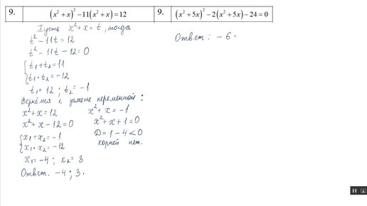
ОГЭ 2023 по математике Задание №20. Пример 9
147 просмотров · 3 года назад
00:00
/
05:14
2 school
250 подписчиков
Подписаться
ОГЭ Математика
Подборка ·
2 school
· 63 из
86
Далее: ОГЭ 2023 по математике Задание №20. Пример 10
ОГЭ Математика
· 63 из
86
663200271.836.1776827969921.11698