Найти в Дзене
Войти
1,0×
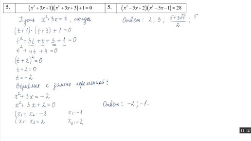
ОГЭ 2023 по математике Задание №20. Пример 5
25 просмотров · 3 года назад
00:00
/
05:13
2 school
250 подписчиков
Подписаться
ОГЭ Математика
Подборка ·
2 school
· 59 из
86
Далее: ОГЭ 2023 по математике Задание №20. Пример 6
ОГЭ Математика
· 59 из
86
2296203084.860.1776948461300.19493