Найти в Дзене
Войти
1,0×
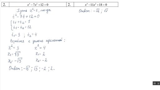
ОГЭ 2023 по математике Задание №20. Пример 2
361 просмотр · 3 года назад
00:00
/
04:36
2 school
251 подписчиков
Подписаться
ОГЭ Математика
Подборка ·
2 school
· 56 из
86
Далее: ОГЭ 2023 по математике Задание №20. Пример 3
ОГЭ Математика
· 56 из
86
2157989940.784.1775278897206.34709