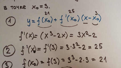
π Π‘ΠΎΡΡΠ°Π²ΠΈΡΡ ΡΡΠ°Π²Π½Π΅Π½ΠΈΠ΅ ΠΊΠ°ΡΠ°ΡΠ΅Π»ΡΠ½ΠΎΠΉ ΠΊ Π³ΡΠ°ΡΠΈΠΊΡ ΡΡΠ½ΠΊΡΠΈΠΈ Π² ΡΠΎΡΠΊΠ΅. ΠΠ»Π³ΠΎΡΠΈΡΠΌ ΡΠ΅ΡΠ΅Π½ΠΈΡ ΠΊΠΎΠ½ΠΊΡΠ΅ΡΠ½ΠΎΠ³ΠΎ ΠΏΡΠΈΠΌΠ΅ΡΠ°.