Найти в Дзене
Татьяна Нарушева
817 подписчиков
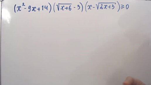
Неравенства. Задание 14. ЕГЭ ПРОФИЛЬ. Сборник Шестакова
Подборка · 
Татьяна Нарушева
 · 34 из 35
Далее: Ш 33 Неравенство с двумя модулями и метод интервалов. Сборник Шестакова под ред.Ященко ✓7(1.2) Задание 14
Неравенства. Задание 14. ЕГЭ ПРОФИЛЬ. Сборник Шестакова  · 34 из 35