Найти в Дзене
Войти
1,0×
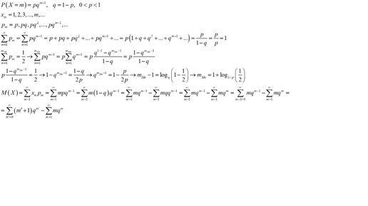
Геометрическая плотность вероятности
51 просмотр · 3 года назад
00:00
/
06:50
Евдмал ФИЗМАТ без боли
190 подписчиков
Подписаться
2654357652.1789.1765645679685.38112