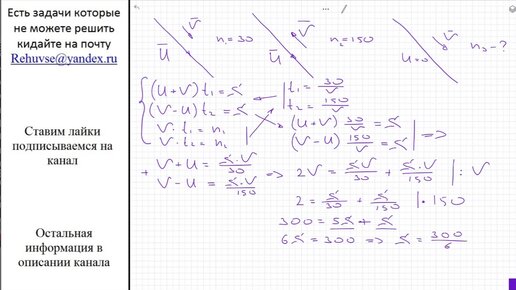
Математика Мальчик сбежал вниз по движущемуся эскалатору и насчитал 30 ступенек. Затем он пробежал вверх по тому же эскалатору с той же