Найти в Дзене
Войти
1,0×
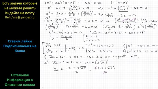
Математика Решите уравнение (x^2-32)(x–7)^2 +49x^2 = 0
16 просмотров · 3 года назад
00:00
/
05:28
ReshuVse
1085 подписчиков
Подписаться
1275130734.915.1776977052585.33605