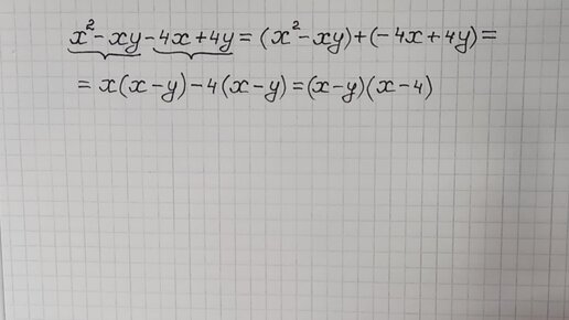
Рассматриваем выполнение задания из курса 7 класса алгебры, где необходимо представить многочлен в виде произведения.