Найти в Дзене
Войти
1,0×
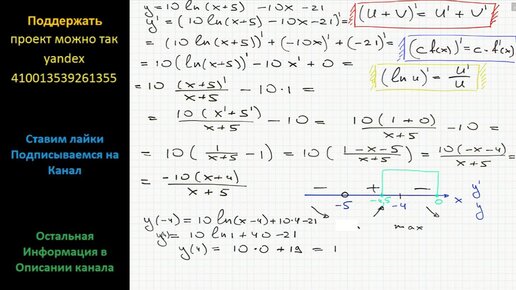
Математика Найдите наибольшее значение функции y = 10 ln(x+5) -10x -21 на отрезке [‐4,5; 0]
76 просмотров · 3 года назад
00:00
/
04:23
ReshuVse
1005 подписчиков
Подписаться
2828632655.1794.1765750543604.29924