Найти в Дзене
Войти
1,0×
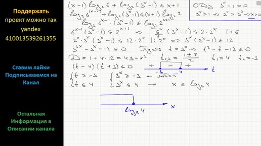
Математика Решите неравенство (x-1)log2 6 +log2 (3^x-1) ≤x+1
119 просмотров · 3 года назад
00:00
/
05:48
ReshuVse
1082 подписчиков
Подписаться
1914414622.788.1776584275376.41893