Найти в Дзене
Войти
1,0×
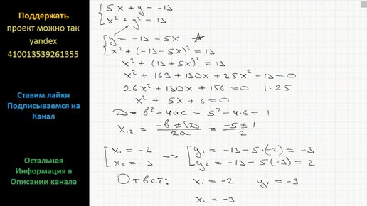
Математика Решите систему уравнений 5x+y=-13 x^2+y^2=13
93 просмотра · 3 года назад
00:00
/
02:57
ReshuVse
1083 подписчиков
Подписаться
4250155480.930.1777505222703.66606