Найти в Дзене
Войти
1,0×
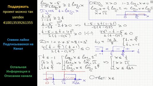
Математика Решите неравенство: (log2 x-5)/(1-2log2 x) ≥ 2log2 x
110 просмотров · 3 года назад
00:00
/
06:24
ReshuVse
1085 подписчиков
Подписаться
614643549.751.1776951223003.35751