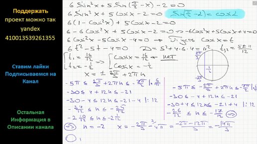
Математика а) Решите уравнение 6(Sinx)^2 +5Sin(П/2-x) -2 =0 б) Найдите все корни этого уравнения, принадлежащие отрезку [-5П; -7П/2]