Найти в Дзене
Войти
1,0×
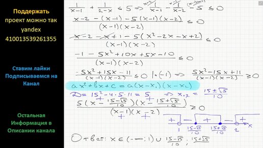
Математика Решите неравенство: 1/(x-1) +1/(2-x) ≤5
281 просмотр · 3 года назад
00:00
/
04:34
ReshuVse
939 подписчиков
Подписаться
1342480941.1834.1760355783379.67851