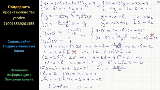
Математика При каких значениях параметров а и b система 4x +(a^2 +2ab +b^2)y=8 (a-b)x +18y=4 Имеет бесконечно много решений?