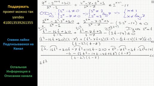
Математика Решите неравенство (4^x - 2^(x+4)+30)/(2^x - 2) + (4^x - 7∙2^x + 3)/(2^x - 7) ≤2^(x+1) -14