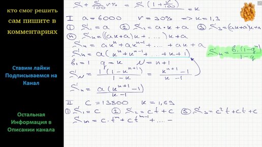
Математика Мистер Джонсон по случаю своего тридцатилетия открыл 1 октября 2010 года в банке счёт, на который он ежегодно кладет 6000 рублей