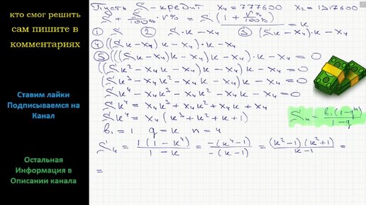
Математика В августе 2020 года взяли кредит. Условия возврата таковы: каждый год долг увеличивается на r% с февраля по июль необходимо