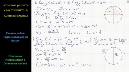
Математика а) Решите уравнение: 2(log2 (Sinx))^2 -5log2 (Sinx) -3 =0б) Определите, какие из его корней принадлежат отрезку [-3П;-3П/2].