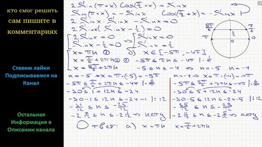
Математика а) Решите уравнение 2Sin(п+x) Cos(п/2+x) = Sinxб) Найдите все корни этого уравнения, принадлежащие отрезку [-5п;-4П]