Найти в Дзене
Войти
1,0×
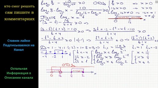
Математика Решите неравенство log2 8/x - 10/(log2 16x) ≥0
103 просмотра · 3 года назад
00:00
/
08:02
ReshuVse
1081 подписчиков
Подписаться
3777985357.866.1776009785183.57488