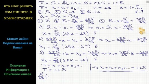
Математика 15-го января планируется взять кредит в банке на 39 месяцев Условия его возврата таковы: 1-го числа каждого месяца долг возрастёт