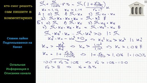
Математика По вкладу А банк в течение трех лет в конце каждого года увеличивает на 12% сумму имеющуюся на вкладе а по вкладу Б увеличивает