Найти в Дзене
Войти
1,0×
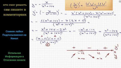
Математика Найдите точку максимума функции y= -x/(x^2-144)
124 просмотра · 3 года назад
00:00
/
04:25
ReshuVse
1083 подписчиков
Подписаться
2502164914.945.1776733915653.16531