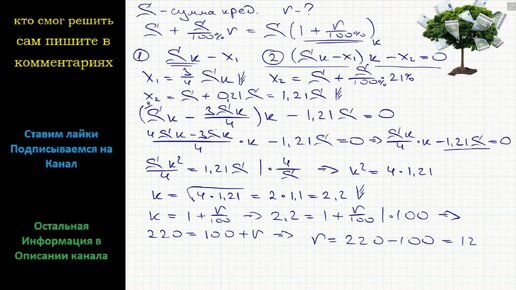
Математика Фермер получил кредит в банке под определенный процент годовых Через год фермер в счет погашения кредита вернул в банк ¾ от всей