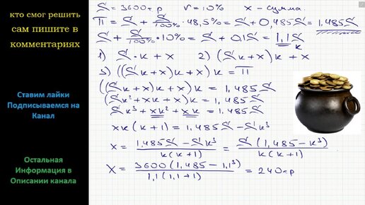
Математика Владимир поместил в банк 3600 тысяч рублей под 10% годовых В конце каждого из первых двух лет хранения после начисления процентов