Найти в Дзене
Войти
1,0×
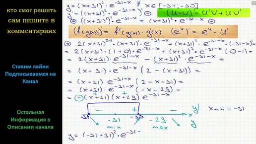
Математика Найдите наименьшее значение функции y = (x+31)^2 e^(-31-x) на отрезке [-34;-30].
122 просмотра · 3 года назад
00:00
/
07:25
ReshuVse
1083 подписчиков
Подписаться
3929810250.880.1776671284707.62283