Найти в Дзене
Войти
1,0×
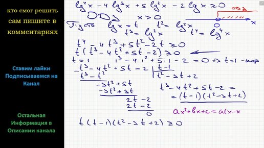
Математика Решите неравенство: (lg x)^4 - 4(lg x)^3 + 5(lg x)^2 - 2lg x ≥0
471 просмотр · 3 года назад
00:00
/
10:03
ReshuVse
1083 подписчиков
Подписаться
3552684348.1342.1776622765840.31135