Найти в Дзене
Войти
1,0×
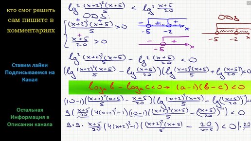
Математика Решите неравенство: (lg ((x+2)^2 (x+5))/5) < (lg ((x+5))/20)^2
73 просмотра · 3 года назад
00:00
/
15:03
ReshuVse
1085 подписчиков
Подписаться
2415143540.942.1776943849653.27357