Найти в Дзене
Войти
1,0×
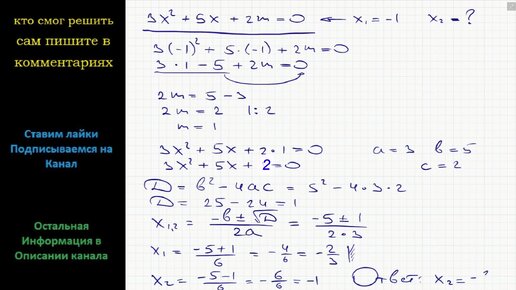
Математика Один из корней уравнения 3x^2+5x+2m=0 равен -1. Найдите второй корень.
139 просмотров · 3 года назад
00:00
/
03:14
ReshuVse
1005 подписчиков
Подписаться
3179359805.1575.1765465112037.24261