Найти в Дзене
Войти
1,0×
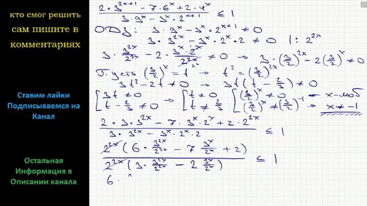
Математика Решите неравенство (2∙3^(2x+1) - 7∙6^x+2∙4^x)/(3∙9^x - 3∙2^(x+1)) ≤ 1
170 просмотров · 3 года назад
00:00
/
11:43
ReshuVse
1083 подписчиков
Подписаться
1482821899.789.1777364532136.29972