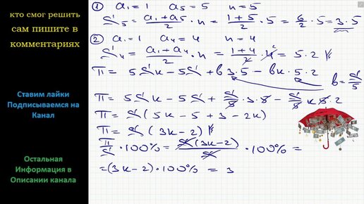
Математика 15 января планируется взять кредит в банке на 5 месяцев Условия его возврата таковы: 1го числа каждого месяца долг возрастает на