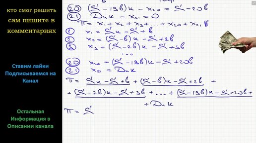
Математика 15-го декабря планируется взят кредит в банке на 1 000 000 рублей на (n + 1) месяц. Условия его возврата таковы: 1-го числа