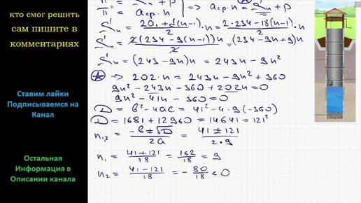
Математика За изготовление и установку нижнего железобетонного кольца колодца заплатили 234 рубля а за каждое следующее кольцо платили на 18