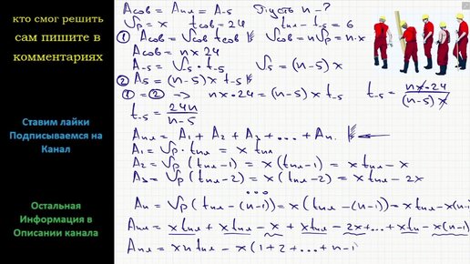
Математика Бригада рабочих могла выполнить всю работу за 24 ч если бы работали одновременно все рабочие однако по плану в первый час работал